忍者ブログ
[PR]
×

[PR]上記の広告は3ヶ月以上新規記事投稿のないブログに表示されています。新しい記事を書く事で広告が消えます。


週刊チャート観察ユーロ円2009年12月29日

先週はクリスマス相場、週末のクリスマスを経た今週は年末相場....
と一年の中でもかなり特殊な時期にさしかかってますが、流石にこの流動性の無い中で、ユーロ円はドル円、ユーロドルと相まって値が足踏みしてますね。
この特殊な時期をどう考えればよいのか、経験不足でよくわからないので、週明けの値動きを見てから.....と言う事で、昨日と今日の午前中の流れを見てみましたが、まだ指標で動きだしてないのでやはりわからんです(笑)。

>チャート的には、日足下ヒゲ陽線を出した所が上昇要因ですが、基準線転換線は逆転下落。
>先週の好転がダマシとなる可能性が高まってますが、下ヒゲ陽線パワーで再度上昇するのかどうか?

と書きましたが、やはり下ヒゲパワー健在でしたね。
その後陽連炸裂で、上げ幅はたいした事有りませんが(下ヒゲ入れるか入れないかで大分違う??)、上昇波動を形成してます。
これが「値幅小にして良しとする」陽連なのか....
雰囲気的には、やはり準備波動のような気はしますね。

ユーロ円終値131.4x

月足
7a17403b.JPG








4e1b4457.JPG









>ちなみに、すこし俯瞰して、大勢感をみてみると。
>過去のユーロ円の急落は92年、98年、03年は上昇波ストップするも下落はせず、
>08年、とほぼ5~6年スパンで波動が変化してます。

>その中で、92年からの下落波は、33ヶ月とピタリと一期一節。
>98年の下落波は、24ヶ月と一期に2ヶ月足らずもほぼ一期。
>今回の08年の下落波は現時点で18ヶ月と二節の段階。
>今月がちょうど二節ですから、来月から一旦上昇する可能性も有るし、一期までの後9ヶ月、
>もしくはその中間辺りまで揉みあい、もしくは二番底つけに下落する可能性も有る....
>と流れの予測選択肢がまだ沢山出てきます。
>直近で言えば、やはり先月のはらみ線状態である今月の月足が、どのような終値の付け方をするかに注目でしょうか?

ここから急落して下値を広げるとは考えにくいので、恐らく今月は先月のはらみ線で終わる可能性もありますね。
全体的には今年の3月からサークル波動となっており、このサークル波動は際が読みにくいので、苦手です。
RSIのトレンドラインと共に、上にブレイクするのか、はたまた三角持合に転換するのか....
ただ、今の所流れが下落寄りとなってるので、新年早々、これを切り上げていくような値動きが有れば、上について行きたい所か?

週足
d5fbcce0.JPG








36464a18.JPG








>という事で、方向性が見えないながらも、来週は下落圧力高し....
>しかし、11/23週の下値を抜くも反転上昇という可能性もあるかな?

下値は抜かずに強い上昇波となりました。
これで、先々週の下落で、10月後半からの一期9週が過ぎ、転換したと思われます。
ただ、11/23週の下値を割ってないので、時間観測的には非常に判断が難しくなりました。

持ち合い開始の4月初旬から数えると、基本数値が少しづつ後ろにずれてます。
現在、比較的綺麗に基本数値が取れるのは4/6、8/3、10/19、それぞれからスタートする基本数値ですが、このスタート日が4/6からの基本数値からみて、8/3は1日、10/19は3日ずれてます。

このずれが何を意味してるのか.....は、やっぱりわからんのです。とほほ。
ただ、時間観測的には上昇過程で、後三週間位は上値を切り上げる可能性が高いか?

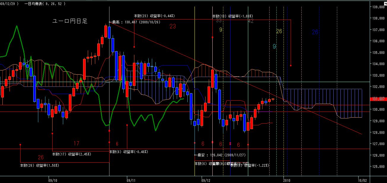
日足
b701cfa0.JPG









15a1aa32.JPG








>こういう短期間に上下にヒゲを出した場合、そのヒゲの範囲内が当面の持ち合い圏となる可能性にも注意ですね。
>これで、陽線下ヒゲですから、やはり月曜から上昇と見たい所ですが、月曜は11/27からの二節17日目、
>火曜は10/26戻り高値からの一期二節42日目と変化日が並んでいる上に、転換線基準線の逆転の具合なんかを
>見ると、やはりここから急上昇は想像しにくいです。
>月曜は転換線がもう一段落ちますので、やはりここは月曜火曜の値動きを確認しながら、転換日を探りたいと思います。

基本的に12/11のヒゲは上抜けしましたね。
最近の相場では、上昇下落共に比較的強い波動が出ますが、今回も一陰介在ではありますが陽連が示現してますので、12/18を下値とした上昇波動継続中という事になりましょうか。

日足トレンドラインがちょうど遅行線と実線がぶつかる辺りに位置してますが、これを強く超えてくようなら、そのまま12/18から一節9日目がちょうど先行スパンのねじれによる転換日となってますので、この辺りで加速するか、反転するかを見極めたいですね。

この先行スパンのねじれ以降、雲の上限が平坦な日が続きます。
ここが、下値目処となって、雲の上限超えを果たしてくれると、遅行線の好転も相まって、来年早々は買い時代の到来でしょうか?。
このタイミングを外したくはないですね。

ここまで。

>昨年はかなり相場が荒れてる中で、12/23から25までは極端に日足が短くなりました。
>今年も同様なら、日足変化日の月曜火曜を経た後は持ち合いに終始する可能性も有りますね。

先週は値幅こそ小さいものの、堅調な上昇波動だったかと。
少なくとも持ち合いではなかったですね。
ユーロドルの反発が影響していると思われますが、ユーロドルの反発はチャートを見る限りでは、先週の週足が雲の上限をタッチ後、折り返してますので、今週も続く可能性があります。

年末年始で流動性が低下するとは言われてますが、日米長期金利も何故か上方向に動いてますので、為替は思ったより早く動きだすかも?

ユーロ円は、今週中に遅行線が好転するのか?...はたまた逆転のまま11/26の陰線の断崖を滑り落ちるのか?
が、日足トレンドラインと共に試される週となりそうです。



PR

トラックバック

トラックバックURL:

コメント

突然のコメント失礼します。
新しくサイトを作ったのですが、もしよろしければ、相互リンクしていただきたいと思い、コメントさせていただきました。
http://art.link-z.net/beginner/link/register
こちらから、登録する形になっているのですが、していただけましたら幸いです。
よろしくお願いします。
ご迷惑でしたら申し訳ございません。Z8D

コメントを投稿する






Vodafone絵文字 i-mode絵文字 Ezweb絵文字(絵文字)


カレンダー
09 2025/10 11
S M T W T F S
1 2 3 4
5 6 7 8 9 10 11
12 13 14 15 16 17 18
19 20 21 22 23 24 25
26 27 28 29 30 31
FX NEWS

-外国為替-
ブログランキング
最新コメント
[01/02 相互リンク依頼]
[12/29 相互リンクのご依頼]
[02/24 カネゴン]
[02/24 joseph]
最新トラックバック
プロフィール
HN:
No Name Ninja
性別:
非公開
バーコード
ブログ内検索
アクセス解析
カウンター