[PR]上記の広告は3ヶ月以上新規記事投稿のないブログに表示されています。新しい記事を書く事で広告が消えます。

[PR]上記の広告は3ヶ月以上新規記事投稿のないブログに表示されています。新しい記事を書く事で広告が消えます。
>今後の展開ですが、全体的には上昇勢力弱し...と見える所ですが、そこは年末相場。
>しかも、今週はクリスマス前週とあって、欧米はすでにクリスマス休暇。
>荒れるか膠着するか.....
先週の一時下げ止まりから、持ち合いを経て、金曜に127円台の下ヒゲを出して陽線引け...と、相変わらず微妙な展開ですが、いよいよ今週はクリスマスから年末へ突入。
流動性がさらに下がっていく中で、どのような展開をみせるのでしょうか?
チャート的には、日足下ヒゲ陽線を出した所が上昇要因ですが、基準線転換線は逆転下落。先週の好転がダマシとなる可能性が高まってますが、下ヒゲ陽線パワーで再度上昇するのかどうか?
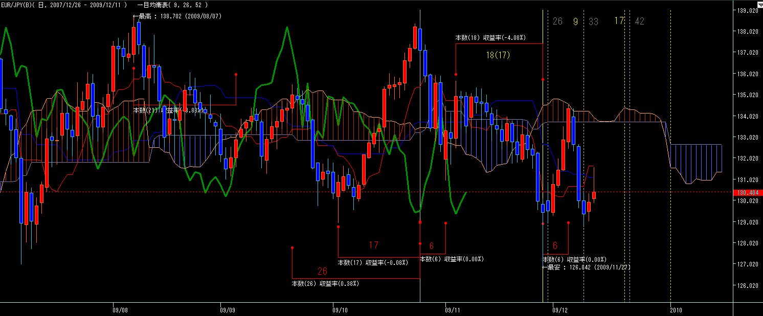
ユーロ円終値129.7x
月足
>上値は今月入れて三ヶ月切り下がってますが、下値は今の所堪えてますね。
>このまま堪え続け、何とかはらみ線で終われば来年早々反発でしょうか?
>逆に先月下値を切り下げたら、ちょっと大変な事になりそうです。
今の所下値は何とか耐えてますね。
ちなみに、すこし俯瞰して、大勢感をみてみると。
過去のユーロ円の急落は92年、98年、03年は上昇波ストップするも下落はせず、08年、とほぼ5~6年スパンで波動が変化してます。
その中で、92年からの下落波は、33ヶ月とピタリと一期一節。
98年の下落波は、24ヶ月と一期に2ヶ月足らずもほぼ一期。
今回の08年の下落波は現時点で18ヶ月と二節の段階。
そう考えると、一期経過までは遅行線が急落月足の影響を受けますので、いまだ日柄的には下落波の影響範囲内。
しかも、値動きとしては非常に微妙な時期ですね。
今月がちょうど二節ですから、来月から一旦上昇する可能性も有るし、一期までの後9ヶ月、もしくはその中間辺りまで揉みあい、もしくは二番底つけに下落する可能性も有る....と流れの予測選択肢がまだ沢山出てきます。
一目を見ると、現在の値位置は転換線下に落ち込んでしまいましたから、上には、転換線、基準線と抵抗線が機能しそうな気配。また移動平均線で言っても34ヶ月移動平均線が55ヶ月を下抜こうとしてますから、いまだ下落圧力は高いと考えた方がよさそうです。
直近で言えば、やはり先月のはらみ線状態である今月の月足が、どのような終値の付け方をするかに注目でしょうか?
週足
>ただ、遅行線は逆転しており、このまま実線をなぞり、下に抜けてしまうと、実線も雲の下限を下抜いてしまいますので、春頃鉄壁を誇った126を割れてしまう可能性もありますね(もし抜けてしまったらという事ですが)。
>移動平均線は55週線に引っ掛かって止まってますが、200日線もかなりの角度で下げてきてますから、下落圧力は高いかなと感じるチャートですね。
>週足来週の値動きはちょっと予測は難しいですが、全体的に下落圧力が高そうなので、今週の下値を割っていくようだと、一旦下値の確認をしないとロングもショートも入れにくい環境かもしれません。
前週下値を割れてます。
一旦雲の下限を割ってますが、金曜の日足下ヒゲ陽線が効いて何とか雲の下限辺りで留まってます。
遅行線は7月第一週の下値127を試す可能性も出てきましたね。
ちなみに、時間観測をしてみると。
4月からの持ち合い以降、戻り高値である4/6からの一節9週で戻りV波。
その6/1からの一節9週で戻りV波。さらにその8/3からの一節9週で下落I波。
その後の短期上昇波後、10/26戻り高値からの一節9週目が来週にあたります。
これが下落I波となるなら、来週は11/23週の下値126.8を割れるはずです。
ちなみに、移動平均線で見ると、移動平均線が絡まって方向性がよくわからなくなってます。
RSIも4月からほぼ50付近を上下しており、こちらも持ち合いを示唆してます。
という事で、方向性が見えないながらも、来週は下落圧力高し....しかし、11/23週の下値を抜くも反転上昇という可能性もあるかな?
日足
>10/26から11/27までの下落には約一期(26日)の日柄が掛かっているので、ここから11/27安値を割るにしても、12/4の戻り高値を超えるにしてもやはり一期程度の時間がかかるかもしれません。
>そう考えると、年末までは先の11/27の安値と12/4の戻り高値の間に収まる可能性も考えられ、その場合、値幅の比較的狭い陰陽連、どちらか発生した方向に年始早々値が加速するかもしれません。
>まずは、その経過を確認したいところか?
先週は上髭陽線で終わった前週の流れを引き継ぎ、月曜は陰線で終了するもその後持ち合い。
木曜、金曜と耐え切れずに下落、遅行線転換線は逆転。
本来なら、これで12月第一週の強い上昇はダマシとなった訳ですが、一旦127を割れるも、金曜は今度は下ヒゲ陽線で終了と、前週とはヒゲの出る方向が逆となりました。
こういう短期間に上下にヒゲを出した場合、そのヒゲの範囲内が当面の持ち合い圏となる可能性にも注意ですね。
時間観測的には、先週金曜が11/4戻り高値からの一期一節33日目。
11/27から6日毎に転換してますが、先週金曜はやはり6日の節目。
これで、陽線下ヒゲですから、やはり月曜から上昇と見たい所ですが、月曜は11/27からの二節17日目、火曜は10/26戻り高値からの一期二節42日目と変化日が並んでいる上に、転換線基準線の逆転の具合なんかを見ると、やはりここから急上昇は想像しにくいです。
月曜は転換線がもう一段落ちますので、やはりここは月曜火曜の値動きを確認しながら、転換日を探りたいと思います。
ここまで。
年末相場で流れがどうなるのか....
昨年はかなり相場が荒れてる中で、12/23から25までは極端に日足が短くなりました。
今年も同様なら、日足変化日の月曜火曜を経た後は持ち合いに終始する可能性も有りますね。
![]()
>先週はユーロドルもドル円も持ち合い継続なれど、若干下落圧力が優勢だったか?
>結果、ユーロ円はじわじわとした動きで金曜に遅行線、実線共に雲下割れ示現。
>こうなると、次は下値目処を探る展開になるだろうか?
>下落波としては加速が示現していない所が懸念事項。
上記で終了してましたが.........
ちょっと忙しく、休んでましたが、今週から復活します。
11月後半から今まで、11/27にドル円が再度80円台中盤を割り込んだ為、ユーロ円も深く下押ししました。
その後、大きく戻したものの、五陽連達成ならずで、反落。
5日で上げたものを3日で戻しましたが、先週はさらなる下押しにはならずに、日足ローソク足は11/27の胴部分で反発。
先週木曜に日足転換線基準線は好転したものの、金曜は転換線つけて急反落、転換線どころか基準線にも乗せずに、かろうじて木曜高値を若干超えた所で終了。大きな上髭を出してしまいました。
今後の展開ですが、全体的には上昇勢力弱し...と見える所ですが、そこは年末相場。
しかも、今週はクリスマス前週とあって、欧米はすでにクリスマス休暇。
荒れるか膠着するか.....
ユーロ円終値130.4x
月足
上値は今月入れて三ヶ月切り下がってますが、下値は今の所堪えてますね。
このまま堪え続け、何とかはらみ線で終われば来年早々反発でしょうか?
逆に先月下値を切り下げたら、ちょっと大変な事になりそうです。
週足
>今後の値動きとしては、やはり先週の予測を踏襲し、最大下値目処としては雲の下限辺りを想定。
>但し、来週は実質月末、しかも11月末はヘッジファンドの決算も多いので、急な流れ....特に下値タッチの戻しに注意か?
上記は前回、11月22日のコメントですが、ほぼ予測通りの値動きとなりました。
特に値動きの雰囲気がよく掴めてたので、この予測的中は個人的には結構嬉しいです(笑)。
さて、ここ三週間は127-136と若干広い値幅を開けている陽連限定線と陰連限定線間を方向感無く上下したという感じでしょうか?、転換線基準線も絡まって、方向感を見出してません。
ただ、遅行線は逆転しており、このまま実線をなぞり、下に抜けてしまうと、実線も雲の下限を下抜いてしまいますので、春頃鉄壁を誇った126を割れてしまう可能性もありますね(もし抜けてしまったらという事ですが)。
移動平均線は55週線に引っ掛かって止まってますが、200日線もかなりの角度で下げてきてますから、下落圧力は高いかなと感じるチャートですね。
週足来週の値動きはちょっと予測は難しいですが、全体的に下落圧力が高そうなので、今週の下値を割っていくようだと、一旦下値の確認をしないとロングもショートも入れにくい環境かもしれません。
日足
>11/4下値割れを見せた事で、11/2の下値を割りに行くと読みたい所。
>日柄的にも水曜の変化日や10/26から26日目付近に注目か?
上記11/22のコメントですが、これは一目均衡表の真髄発揮という所でしょうか?
実際は26日目の一日前、11/27に7月安値と同等レベルの126円台を付けました。
その後反発しましたが、五陽連ならずで、このパターンの定番とも言える11/27日から9日目(一節)までに逆V波を描きました。
日足レベルでは、この後の展開として考えられるのは、まずは五連(一陰介在も含む)が出ない限りは上昇下落どちらの勢力も確認できないという事。
先週前半の下げは非常にキツイ下げですが、その後木曜、金曜と陽線が二本示現した事で、下落勢力としてのパワーは弱められている(というか下落勢力は発生していない)と考えて良いと思います。
10/26から11/27までの下落には約一期(26日)の日柄が掛かっているので、ここから11/27安値を割るにしても、12/4の戻り高値を超えるにしてもやはり一期程度の時間がかかるかもしれません。
そう考えると、年末までは先の11/27の安値と12/4の戻り高値の間に収まる可能性も考えられ、その場合、値幅の比較的狭い陰陽連、どちらか発生した方向に年始早々値が加速するかもしれません。
まずは、その経過を確認したいところか?
追記
一目日足に関しては時間観測を描画してます。
10/26高値からの日柄と11/27下値からの日柄は基本数値にてほぼ一致してます。
対等数値に関しては、これもよく観測される6日が今回も観測されてます。
また、描画されてませんが、8/7-10/2までの高値安値が41日(ほぼ一期二節の42に相当)は、その後の10/2から11/27安値までの41日とピタリと一致。これは対等数値とも言えるし、ほぼ基本数値とも言えると思います。
ここまで。
>しかし、依然として小動きの範囲内で、下落加速が見当たりません。
>10/26から約二週間の日足の長さからすると、その後の日足の短さが気になります。
>ここはやはり大陰線から下ヒゲ線や十字線等、下落加速から下落収束の流れを見たいですね。
>ただ、金曜にやっと実線終値が雲下限を下抜けた事で、初めて三役逆転が成立したので、
>来週はやはり下落継続と見たい所か。
一目均衡表を勉強し始めて、約一年経過しましたが、やっと一目的考え方がもやもやとではありますが、掴めて来た感じがします。
まだ全然不十分ではありますが、一目均衡表の真髄は、やはり一目均衡表の描画部分には見えない所に在ると思います。
これが、一般的には一目の描画部分のみがクローズアップされている為、いろんな誤解が在るのかと?
いずれにせよ、11/22の欄外コラムは比較的そういった一目均衡表の統合的解釈を書いた訳ですが、これに時間観測をもう少し詳細に分析した結果が付加すれば、大分本格的になってくると思います。
ま、一目均衡表原本にはセット本買ったら二年は勉強せよ...と書いてますから、まだまだ青二才という事ですね(涙)
![]()
>ユーロドルの持ち合いとドル円の持ち合いに挟まれた形となった訳ですが、来週はユーロドルは再度上昇しそうな雰囲気。
>となると、方向感がわからないドル円が下落すると持ち合い継続か下落、上昇するとユーロ円はさらに強い上昇示現となる>可能性がありますね。
先週はユーロドルもドル円も持ち合い継続なれど、若干下落圧力が優勢だったか?
結果、ユーロ円はじわじわとした動きで金曜に遅行線、実線共に雲下割れ示現。
こうなると、次は下値目処を探る展開になるだろうか?
下落波としては加速が示現していない所が懸念事項。
ユーロ円終値132.1x
月足
>月足転換線は130ミドル。日足ではちょうど300日線にあたります。
>来週下落進行し200日線を下抜けた場合は、この辺りで下げ止まるか要確認か。
>但し、来週反転上昇の可能性もあるが、それは日足の項で。
コメントは先週同様ですが、月足を見る限り、一ヶ月おきに上攻め、下攻めが続いてますので、来週はやはり下攻めからスタートか?
週足
>ここは一陽介在五陰連ならず!!...........でした。
>但し、上値も下値も前週を越えてませんから、単なる持ち合いだったという事ですね。
>二週続けて上髭が長いですから、先週同様上値抵抗強しと見たい所。
>6月の戻り高値以降の持ち合い相場では、日柄的に上昇より下落の日柄が長いという特徴から、もう少し下落する可能性があるものの、下値の切り上げ具合や雲の下限の上昇具合からするとそれ程下値は深くならないか?
週足の読みはほぼこの通りでした。
今後の値動きとしては、やはり先週の予測を踏襲し、最大下値目処としては雲の下限辺りを想定。
但し、来週は実質月末、しかも11月末はヘッジファンドの決算も多いので、急な流れ....特に下値タッチの戻しに注意か?
日足
>来週はMA200とトレンドラインがほぼ同じ値位置ですので、下値はやはりここをキープできるかどうか?
>また、割れた場合MA300のサポートの確認。
>逆に上げた場合は、転換線の下げ止まりと転換線乗せを確認したい所でしょうか。
>三角持合の上下トレンドラインもどんどんと狭まって来ますので、今月はレンジブレイク成るか?
>ここは先週と変わらず。
>いずれにせよ11/4の日足越え(フィボ61.8-23.6)がひとつの方向性を示す基点となりそうです。
>ちなみに、一目均衡表時間観測、基本数値からすると、来週火曜が10/26から17日目。
>遅行線も木曜には10/15大陽線接触日となれば、やはり来週前半にはこの小持ち合いをブレイクするか?
先週は10/26から17日目の下値探りで翌日反発。
しかし、反転ならずで下落継続。結果、遅行線、実線共に雲下限割れ。
先週予測の週前半持ち合いブレイクならず。
11/4下値割れを見せた事で、11/2の下値を割りに行くと読みたい所。
日柄的にも水曜の変化日や10/26から26日目付近に注目か?
ここまで。
>結局の所、11/4の大陽線以降、この大陽線の範囲内で持ち合っている状態ですので、ここを抜ける方向に注目ですね。
という事で、下に抜けました。
しかし、依然として小動きの範囲内で、下落加速が見当たりません。
10/26から約二週間の日足の長さからすると、その後の日足の短さが気になります。
ここはやはり大陰線から下ヒゲ線や十字線等、下落加速から下落収束の流れを見たいですね。
ただ、金曜にやっと実線終値が雲下限を下抜けた事で、初めて三役逆転が成立したので、来週はやはり下落継続と見たい所か。
>ここらで下値目処に変化が現れるのか?、はたまた上値を伸ばしに行くのか?
>米利上げも遠のいた今、年末金融機関決算も近づいてきたので、持ち合いのまま、荒れる展開も考えられますね。
先週は概ね、米雇用統計後の雰囲気をそのまま踏襲する形で方向感見えず....という感じでしょうか?
ユーロドルの持ち合いとドル円の持ち合いに挟まれた形となった訳ですが、来週はユーロドルは再度上昇しそうな雰囲気。
となると、方向感がわからないドル円が下落すると持ち合い継続か下落、上昇するとユーロ円はさらに強い上昇示現となる可能性がありますね。
ユーロ円終値133.6x
月足
>月足転換線は130ミドル。日足ではちょうど300日線にあたります。
>来週下落進行し200日線を下抜けた場合は、この辺りで下げ止まるか要確認か。
>但し、来週反転上昇の可能性もあるが、それは日足の項で。
月足コメントは先週同様。
週足
>来週陽線つけると、10/5週から陰線交じりの一陰介在五陽連示現となり陽連限定線がもう一段上がる事になりますが、どうでしょう?
>ローソク足的には上髭の長い陽線ですから、前々週からの下落に対しての抵抗力は有りながらも、上値抵抗強し...という感じですね。ちなみに、反落ポイントは見事に陰連抵抗線で跳ね返されてます。
>現在の値位置からでは、来週が陽線か陰線かはわかりませんが、トレンドラインや下値切り上げの様子を見ると、陽線続きと見るのが自然か?(要素希薄ではありますが)
ここは一陽介在五陰連ならず!!...........でした。
但し、上値も下値も前週を越えてませんから、単なる持ち合いだったという事ですね。
二週続けて上髭が長いですから、先週同様上値抵抗強しと見たい所。
6月の戻り高値以降の持ち合い相場では、日柄的に上昇より下落の日柄が長いという特徴から、もう少し下落する可能性があるものの、下値の切り上げ具合や雲の下限の上昇具合からするとそれ程下値は深くならないか?
いずれにせよ、週足的には方向感不明か?
日足
>来週はMA200とトレンドラインがほぼ同じ値位置ですので、下値はやはりここをキープできるかどうか?
>また、割れた場合MA300のサポートの確認。
>逆に上げた場合は、転換線の下げ止まりと転換線乗せを確認したい所でしょうか。
>三角持合の上下トレンドラインもどんどんと狭まって来ますので、今月はレンジブレイク成るか?
ここは先週と変わらず。
先週は上値の重い展開が続き、月曜以外は全て陰線。
但し、下値も概ね雲の上限前後でサポートされる展開で、下値も固そうな雰囲気。
来週は遅行線雲の下限割れイコール実線割れ逆転となってしまいますので、やはり11/4の下値割れは下落拡大の可能性大でしょうか?........逆に、11/4高値越えイコール、遅行線10/15大陽線越えとなりますので、続伸の可能性大?
いずれにせよ11/4の日足越え(フィボ61.8-23.6)がひとつの方向性を示す基点となりそうです。
ちなみに、一目均衡表時間観測、基本数値からすると、来週火曜が10/26から17日目。
遅行線も木曜には10/15大陽線接触日となれば、やはり来週前半にはこの小持ち合いをブレイクするか?
ここまで。
>日足トレンドラインも狭まって来てるので、時間足によって予測がマチチマとなってますが、要は来週一旦下を試すも、反転し週足では陽線終了となるのでは...と読んでる訳ですね。
>しかし、最近のドラスティックな展開を見ると、月曜の値動き次第ではこれがコロッと変わる事も在りうると思っています。
ま、先週はその位中途半端な値位置で終了しているという事ですが....
週足陽線の読みがはずれてますが、これは火曜以降の値動きを見れば予測修正可能な範囲ですね。
結局の所、11/4の大陽線以降、この大陽線の範囲内で持ち合っている状態ですので、ここを抜ける方向に注目ですね。
![]()
>ただ、日足は値幅やスピードが速くバタバタしてますが、週足や月足レベルでは持ち合いとハッキリ出てますので、
>下に行けば持ち合い下限探りとまずは考えたい所。
先週は相変わらず日足の長い日が続き、そのせいで思ったより早く目標値位置に到達という展開。
概ね200日線を下値とした持ち合いに転換しましたが、米雇用統計でも方向性がわからず、最近にしては珍しい展開となってしまいました。
200日線を越えた5月以降、7月、10月、そして先週と三回にわたり200日線でサポートされてますが、7月以降、持合の中心線を描いていると思われる55日線と200日線の幅が段々と短くなってきてます。
ここらで下値目処に変化が現れるのか?、はたまた上値を伸ばしに行くのか?
米利上げも遠のいた今、年末金融機関決算も近づいてきたので、持ち合いのまま、荒れる展開も考えられますね。
ユーロ円終値133.5x
月足
>値動きは相変わらず、2003-2006年のレンジ内で推移してますが、月足的には転換線が当面の下値目処となる予定。
月足転換線は130ミドル。日足ではちょうど300日線にあたります。
来週下落進行し200日線を下抜けた場合は、この辺りで下げ止まるか要確認か。
但し、来週反転上昇の可能性もあるが、それは日足の項で。
週足
>特に限定線超えがダマシとなってますが、従来のチャネルラインにはピタリと嵌ってますので、やはりあまり限定線を過信し過ぎるのもイカンという事ですね。
>さて、来週は反転後二週目ですから、陰線続きとなる可能性が高いですが、週足的な節目としては、週足トレンドライン130前半(但し、このトレンドラインが効くかどうかは不明)がまず意識される所か?
一応、先週はトレンドライン効いてますね。
先々週のイメージでは55週線を一旦つけて、トレンドライン戻りで陰線終了と見てたんですが、先週末の米雇用統計でも何故か下値拡大しませんでした。
来週陽線つけると、10/5週から陰線交じりの一陰介在五陽連示現となり陽連限定線がもう一段上がる事になりますが、どうでしょう?
ローソク足的には上髭の長い陽線ですから、前々週からの下落に対しての抵抗力は有りながらも、上値抵抗強し...という感じですね。ちなみに、反落ポイントは見事に陰連抵抗線で跳ね返されてます。
現在の値位置からでは、来週が陽線か陰線かはわかりませんが、トレンドラインや下値切り上げの様子を見ると、陽線続きと見るのが自然か?(要素希薄ではありますが)
日足
>日足的には、200日線130後半、トレンドライン131前半あたりがまず意識される所。
最近は日足が長くドラスティックな展開が続いてますので、今までなら2日で到達するような値位置も一気に付けに行くような場面が多々有りますね。
しかし、反面、先週末の米雇用統計では逆に不思議な下げ渋りを見せる等、日足の値幅が大きい割には方向感が定まらない展開が続いてます。
来週はMA200とトレンドラインがほぼ同じ値位置ですので、下値はやはりここをキープできるかどうか?
また、割れた場合MA300のサポートの確認。
逆に上げた場合は、転換線の下げ止まりと転換線乗せを確認したい所でしょうか。
三角持合の上下トレンドラインもどんどんと狭まって来ますので、今月はレンジブレイク成るか?
ここまで。
>レンジ動と言えばそれまでですが、ここに来ての急なボラティリティの上昇が気になります。
>特に、ユーロドル、ドル円の反落がどこまで進むのか?
>ここらにユーロ円の下落目処を探るカギがありそうです。
先週は米雇用統計にも下落進行せず、ちょっと不思議なチャートになりましたね。
日足トレンドラインも狭まって来てるので、時間足によって予測がマチチマとなってますが、要は来週一旦下を試すも、反転し週足では陽線終了となるのでは...と読んでる訳ですね。
しかし、最近のドラスティックな展開を見ると、月曜の値動き次第ではこれがコロッと変わる事も在りうると思っています。
ま、先週はその位中途半端な値位置で終了しているという事ですが....
![]()